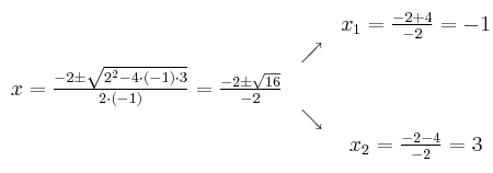
Ecuación de segundo grado con la fórmula general 💬 2 ecuaciones-segundo-gradoEjercicios_Resueltosformula ecuación 2º grado Resuelve la ecuación SOLUCIÓN Comentar el ejercicio Mensajes 4 de mayo de 2020, 20:01, por Michelle No entiendo cómo es que sale 16 !!! 4 de mayo de 2020, 20:12, por dani
Mensajes
4 de mayo de 2020, 20:01, por Michelle
No entiendo cómo es que sale 16 !!!
4 de mayo de 2020, 20:12, por dani