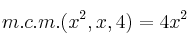
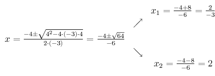
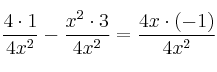
Ecuaciones Racionales ecuacionesecuaciones_racionalesEjercicios_Resueltos Resuelve la ecuación: SOLUCIÓN Recordemos el método para resolver ecuaciones racionales Resolvemos la ecuación de 2º grado Comentar el ejercicio