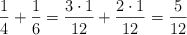
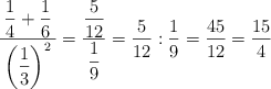
Operaciones combinadas con fracciones Ejercicios_Resueltosoperaciones_con_fracciones Calcula y simplifica: SOLUCIÓN Realizamos aparte las siguientes operaciones: La expresión total quedaría: Comentar el ejercicio