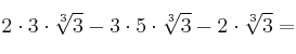
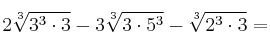
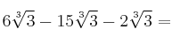
Operaciones con radicales [2853] Ejercicios_Resueltosoperaciones radicalesradicales Opera y simplifica: – a) – b) SOLUCIÓN – a) – b) Comentar el ejercicio