Navega sin publicidad Regístrate GRATIS
 
  Si ya estás registrado/a Identifícate

sistemas lineal 2x2

💬 1

  Ejercicios_Resueltossistemas_por_igualaciónsistemas_por_reducciónsistemas_por_sustituciónsistema_lineal_2_ecuaciones_2_incognitas

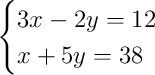
Resuelve el sistema de ecuaciones:
\displaystyle {
\left\{ {3x-2y=12 \atop x+5y=38 } \right.}

SOLUCIÓN

Método de Sustitución

Despejamos una incógnita en una de las ecuaciones y sustituimos esa expresión en la otra, obteniendo una ecuación con una sola incógnita.

Sistema de partida:

\begin{cases}3x - 2y = 12\\x + 5y = 38\end{cases}

Paso previo · Elegimos qué incógnita despejar

El coeficiente de x en la Ec.2 es 1: despejamos x de esa ecuación porque no aparecerán fracciones.

Paso 1 · Despejamos x de la segunda ecuación

{\color{blue} x = 38 - 5y}

Paso 2 · Sustituimos x en la primera ecuación

3(38 - 5y) - 2y = 12

Paso 3 · Desarrollamos el paréntesis

114 - 15y - 2y = 12

Paso 4 · Agrupamos los términos con y a un lado y los números al otro

-17y = -102

Paso 5 · Despejamos y

{\color{blue} y = 6}

Paso 6 · Sustituimos y en la expresión del Paso 1 para hallar x

x = 38 - 5\cdot\left(6\right)

{\color{blue} x = 8}

Solución

\boxed{x = 8 \qquad y = 6}

 



 

Método de Igualación

Despejamos la misma incógnita (x) en las dos ecuaciones e igualamos las expresiones resultantes. Así obtenemos una ecuación con solo y.

Sistema de partida:

\begin{cases}3x - 2y = 12\\x + 5y = 38\end{cases}

Paso 1 · Despejamos x de la primera ecuación

3x = 12 + 2y

{\color{blue} x = \dfrac{12 + 2y}{3}}

Paso 2 · Despejamos x de la segunda ecuación

x = 38 - 5y

{\color{blue} x = 38 - 5y}

Paso 3 · Como ambas expresiones son iguales a x, las igualamos entre sí

\dfrac{12 + 2y}{3} = 38 - 5y

Paso 4 · Multiplicamos en cruz para eliminar los denominadores

(12 + 2y) = 3(38 - 5y)

Paso 5 · Desarrollamos los paréntesis

12 + 2y = 114 - 15y

Paso 6 · Pasamos todos los términos con y a la izquierda y los números a la derecha

17y = 102

Paso 7 · Despejamos y

{\color{blue} y = 6}

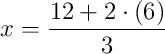
Paso 8 · Sustituimos y en la expresión del Paso 1 para hallar x

x = \dfrac{12 + 2\cdot\left(6\right)}{3}

{\color{blue} x = 8}

Solución

\boxed{x = 8 \qquad y = 6}

 



 

Método de Reducción

Multiplicamos las ecuaciones por números adecuados de forma que, al sumar o restar, una incógnita se elimine.

Sistema de partida:

\begin{cases}3x - 2y = 12\\x + 5y = 38\end{cases}

Paso previo · Elegimos la incógnita a eliminar

1 es múltiplo de 3 (coeficientes de x). Basta con multiplicar la Ec.2 por 3.

Paso 1 · Sistema equivalente tras multiplicar

3x - 2y = 12\quad\text{(sin cambios)}

3\cdot\left[x + 5y = 38\right]\;\Rightarrow\;3x + 15y = 114

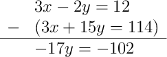
Paso 2 · Mismo signo en x: restamos para eliminarla

\begin{array}{rl} & 3x - 2y = 12 \\ - & (3x + 15y = 114) \\ \hline & -17y = -102 \end{array}

Paso 3 · Despejamos y

{\color{blue} y = 6}

Paso 4 · Sustituimos y en la primera ecuación para hallar x

3x - 2y = 12

3x = 12 + 2\cdot\left(6\right)

x = \dfrac{12 + 2\cdot\left(6\right)}{3}

{\color{blue} x = 8}

Solución

\boxed{x = 8 \qquad y = 6}

Comentar el ejercicio