Matemáticas IES

  • Inicio
  • Apuntes
  • Vídeos
  • Ejercicios
  • Ej. Resueltos
  • PAU
  • Acceso 25
  • Buscar
  • Portada del sitio
  • EJERCICIOS de Matemáticas
  • 1º BACH. SOC.
  • Límites y Derivadas
  • Calcular Derivadas

Calcular Derivadas

|
  • funciones
  • derivada de una función

Calcula las siguientes derivadas y simplifica el resultado cuando se pueda:

– a) f(x) = x \cdot e^x
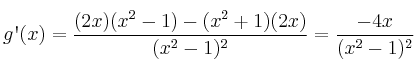
– b) g(x) = \frac{x^2+1}{x^2-1}

SOLUCIÓN

– a) f\textsc{\char13}(x) = 1 \cdot e^x + x \cdot e^x = (1+x) \cdot e^x
– b) g\textsc{\char13}(x) = \frac{(2x)(x^2-1)-(x^2+1)(2x)}{(x^2-1)^2}=\frac{-4x}{(x^2-1)^2}

comentariosComentar el Ejercicio

  • Secciones
  • 1º BACH. CIENCIAS
  • 1º BACH. SOC.
    • Ecuaciones y Sistemas
    • Estadística
    • Exámenes
    • Funciones
    • Inecuaciones
    • Límites y Derivadas
    • Logarítmos
    • Matemática Financiera
    • Números Reales
    • Polinomios
    • Probabilidad
    • Variables Aleatorias bidimensionales
    • Variables Aleatorias Unidimensionales
  • 1º ESO
  • 2º BACH. CIENCIAS
  • 2º BACH. SOC.
  • 2º ESO
  • 3º ESO
  • 4º ESO

Palabras clave

  • derivada de una función
  • funciones

2001-2025  — Matemáticas IES
Mapa del sitio | Conectarse | Seguir la vida del sitio  RSS 2.0

SPIP