Matemáticas IES

  • Inicio
  • Apuntes
  • Vídeos
  • Ejercicios
  • Ej. Resueltos
  • PAU
  • Acceso 25
  • Buscar
  • Portada del sitio
  • EJERCICIOS de Matemáticas
  • 1º BACH. SOC.
  • Límites y Derivadas
  • Calcular derivada

Calcular derivada

|
  • derivada de una función

Calcula la derivada de la función
y = Ln \: \left( \frac{2-5x^2}{4}  \right)

SOLUCIÓN

Aplicamos la fórmula

\fbox{y=Ln(u)  \longrightarrow y^\prime=\frac{u^\prime}{u}}

y = Ln \: \left( \frac{2-5x^2}{4}  \right)

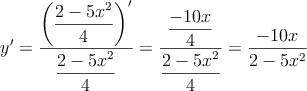
y^\prime = \dfrac{\left( \dfrac{2-5x^2}{4}\right)^\prime}{\dfrac{2-5x^2}{4}} = \dfrac{\dfrac{-10x}{4}}{\dfrac{2-5x^2}{4}}=\frac{-10x}{2-5x^2}

comentariosComentar el Ejercicio

  • Secciones
  • 1º BACH. CIENCIAS
  • 1º BACH. SOC.
    • Ecuaciones y Sistemas
    • Estadística
    • Exámenes
    • Funciones
    • Inecuaciones
    • Límites y Derivadas
    • Logarítmos
    • Matemática Financiera
    • Números Reales
    • Polinomios
    • Probabilidad
    • Variables Aleatorias bidimensionales
    • Variables Aleatorias Unidimensionales
  • 1º ESO
  • 2º BACH. CIENCIAS
  • 2º BACH. SOC.
  • 2º ESO
  • 3º ESO
  • 4º ESO

Palabras clave

  • derivada de una función

2001-2025  — Matemáticas IES
Mapa del sitio | Conectarse | Seguir la vida del sitio  RSS 2.0

SPIP