Castillos de fracciones
Realiza las siguientes operaciones y simplifica el resultado.

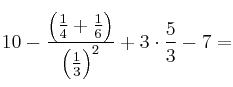
SOLUCIÓN
Hacemos operaciones aparte



Entonces tenemos:






![]()
Realiza las siguientes operaciones y simplifica el resultado.

Hacemos operaciones aparte



Entonces tenemos:






![]()