Matemáticas IES

  • Inicio
  • Apuntes
  • Vídeos
  • Ejercicios
  • Ej. Resueltos
  • PAU
  • Acceso 25
  • Buscar
  • Portada del sitio
  • EJERCICIOS de Matemáticas
  • 2º ESO
  • Ecuaciones
  • Ecuaciones de primer grado con denominadores 2972

Ecuaciones de primer grado con denominadores 2972

|
  • ecuaciones
  • ecuaciones de primer grado
  • ecuaciones con denominadores

Resuelve la ecuación:

7 + \frac{x}{2} = 8 + \frac{4x}{3}


SOLUCIÓN

7 + \frac{x}{2} = 8 + \frac{4x}{3}


Ponemos denominador 1 a los que no tengan denominador

\frac{7}{1} + \frac{x}{2} = \frac{8}{1} + \frac{4x}{3}


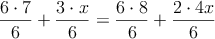
m.c.m.(2,3)=6

\frac{6 \cdot 7}{6} + \frac{3 \cdot x}{6} = \frac{6 \cdot 8}{6} + \frac{2 \cdot 4x}{6}


\frac{42}{6} + \frac{3x}{6} = \frac{48}{6} + \frac{8x}{6}


Quitamos denominadores

42+3x=48+8x

Solución: x = - \frac{6}{5}

comentariosComentar el Ejercicio

  • Secciones
  • 1º BACH. CIENCIAS
  • 1º BACH. SOC.
  • 1º ESO
  • 2º BACH. CIENCIAS
  • 2º BACH. SOC.
  • 2º ESO
    • Ecuaciones
    • Fracciones
    • Geometría
    • Gráficas y Funciones 2º ESO
    • Números Enteros
    • Polinomios
    • Potencias
    • Proporcionalidad
    • Radicales
  • 3º ESO
  • 4º ESO

Palabras clave

  • ecuaciones
  • ecuaciones con denominadores
  • ecuaciones de primer grado

2001-2025  — Matemáticas IES
Mapa del sitio | Conectarse | Seguir la vida del sitio  RSS 2.0

SPIP