Matemáticas IES

  • Inicio
  • Apuntes
  • Vídeos
  • Ejercicios
  • Ej. Resueltos
  • PAU
  • Acceso 25
  • Buscar
  • Portada del sitio
  • EJERCICIOS de Matemáticas
  • 1º BACH. SOC.
  • Límites y Derivadas
  • Ejercicio Derivadas

Ejercicio Derivadas

|
  • derivada de una función

Calcula la derivada de las siguientes funciones:

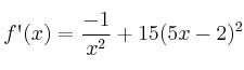
– f(x) = \frac{1-3x}{x} + (5x-2)^3
– g(x) = (x^2+2) \cdot L(x^2+2)
– h(x) = 3^{5x} + e^x

SOLUCIÓN

– (a) f\textsc{\char13}(x)=\frac{-1}{x^2} + 15(5x-2)^2
– (b) g\textsc{\char13}(x)=2x \cdot Ln(x^2+2) + 2x
– (c) h\textsc{\char13}(x)=5 \cdot Ln3 \cdot 3^{5x}+e^x

comentariosComentar el Ejercicio

  • Secciones
  • 1º BACH. CIENCIAS
  • 1º BACH. SOC.
    • Ecuaciones y Sistemas
    • Estadística
    • Exámenes
    • Funciones
    • Inecuaciones
    • Límites y Derivadas
    • Logarítmos
    • Matemática Financiera
    • Números Reales
    • Polinomios
    • Probabilidad
    • Variables Aleatorias bidimensionales
    • Variables Aleatorias Unidimensionales
  • 1º ESO
  • 2º BACH. CIENCIAS
  • 2º BACH. SOC.
  • 2º ESO
  • 3º ESO
  • 4º ESO

Palabras clave

  • derivada de una función

2001-2025  — Matemáticas IES
Mapa del sitio | Conectarse | Seguir la vida del sitio  RSS 2.0

SPIP