Matemáticas IES

  • Inicio
  • Apuntes
  • Vídeos
  • Ejercicios
  • Ej. Resueltos
  • PAU
  • Acceso 25
  • Buscar
  • Portada del sitio
  • EJERCICIOS de Matemáticas
  • 1º BACH. SOC.
  • Números Reales
  • Ejercicios de fracciones 4184

Ejercicios de fracciones 4184

|
  • fracciones
  • operaciones_con_fracciones

Realiza las siguientes operaciones y simplifica el resultado.
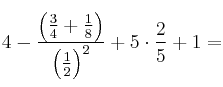
4 - \frac{\left( \frac{3}{4}+\frac{1}{8} \right)}{\left( \frac{1}{2}\right)^2} + 5 \cdot \frac{2}{5}+1

SOLUCIÓN

4 - \frac{\left( \frac{3}{4}+\frac{1}{8} \right)}{\left( \frac{1}{2}\right)^2} + 5 \cdot \frac{2}{5}+1 =
4 - \frac{ \frac{7}{8} }{ \frac{1}{4}} + \frac{5}{1} \cdot \frac{2}{5}+1 =
4 - \frac{ 28 }{ 8} + 2 +1 =
7 - \frac{ 28 }{ 8}  =
\frac{56}{8} - \frac{ 28 }{ 8}  = \frac{28}{8} = \frac{7}{2}

comentariosComentar el Ejercicio

  • Secciones
  • 1º BACH. CIENCIAS
  • 1º BACH. SOC.
    • Ecuaciones y Sistemas
    • Estadística
    • Exámenes
    • Funciones
    • Inecuaciones
    • Límites y Derivadas
    • Logarítmos
    • Matemática Financiera
    • Números Reales
    • Polinomios
    • Probabilidad
    • Variables Aleatorias bidimensionales
    • Variables Aleatorias Unidimensionales
  • 1º ESO
  • 2º BACH. CIENCIAS
  • 2º BACH. SOC.
  • 2º ESO
  • 3º ESO
  • 4º ESO

Palabras clave

  • fracciones
  • operaciones_con_fracciones

2001-2025  — Matemáticas IES
Mapa del sitio | Conectarse | Seguir la vida del sitio  RSS 2.0

SPIP