Expresión analítica de función a trozos a partir de la gráfica
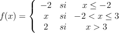
A continuación puedes ver la gráfica de una función definida a trozos. Obtén la expresión analítica, utilizando las expresiones adecuadas.
SOLUCIÓN

A continuación puedes ver la gráfica de una función definida a trozos. Obtén la expresión analítica, utilizando las expresiones adecuadas.
