Funciones - Gráfica
Representa gráficamente las funciones:
– a)
– b) 
SOLUCIÓN:
es una función cuadrática (polinómica de segundo grado) cuya gráfica es una parábola.
Para dibujar una parábola seguimos los siguientes pasos:
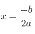
1) Calcular el vértice
La coordenada "x" del vértice se calcula con la fórmula
por tanto:

Ahora calculamos la segunda coordenada:
![]()
El vértice es el punto ![]()
2) La orientación de la parábola nos la da el signo del coeficiente de la
. Como es positivo, la parábola va hacia arriba (con el vértice abajo)
3) Corte con los ejes de coordenadas
En la imagen anterior ya debemos intuir que cortará en un punto al eje vertical, pero que no cortará al eje horizontal (la parábola va hacia arriba y el vértice está encima del eje). No obstante, vamos a calcular los puntos de corte suponiendo que no hemos visto la imagen anterior:
Si ![]()
Punto de corte ![]()
Si ![]()
Debemos resolver la ecuación de segundo grado

Como habíamos supuesto, la ecuación de 2º grado no tiene soluciones y por tanto la parábola no corta al eje horizontal.
4) Otros puntos
Calculamos más puntos para poder dibujarla:

Ya podemos dibujarla

Se trata de una función exponencial.
Creamos una tabla de valores para ir creando puntos:

Cuanto más puntos, mejor saldrá el dibujo
Matemáticas IES