Interés compuesto
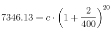
Contratamos un depósito al 2% con aportaciones trimestrales. Al cabo de 5 años obtenemos un capital final de 7346.13 euros.
Calcula el capital inicial que se depositó y los intereses totales que ha producido en esos 5 años. Calcula la tasa anual equivalente (TAE) correspondiente.
SOLUCIÓN
Como los pagos son trimestrales, usaremos la fórmula del interés compuesto Ver Teoría donde t son trimestres:

Sustituimos en la fórmula los datos del enunciado (5 años son 20 trimestres)

Tenemos que calcular el capital inicial (c)
![]()

![]()
Se depositó un capital inicial de 6648.71€ y se obtuvo un capital final de 7346.13€, por tanto, los intereses generados han sido de 697.42 €
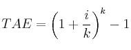
Usaremos la fórmula para el cálculo de la TAE:

Recordemos que k es el número de veces al año. Como son pagos trimestrales sería 4 veces al año

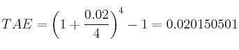
Sería una TAE del 2.02%