Problemas de Geometría
Calcula el perímetro y la superficie de un cuadrado de diagonal 5 cm
SOLUCIÓN:
Necesitamos calcular primero el lado ![]()
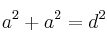
Aplicamos Pîtágoras:
![]()
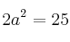
![]()

![]()

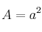
Calculamos la superficie (área):
![]()

![]()
El perímetro será;
![]()

Calcula el perímetro y la superficie de un cuadrado de diagonal 5 cm
SOLUCIÓN:
Necesitamos calcular primero el lado ![]()
Aplicamos Pîtágoras:
![]()
![]()

![]()

Calculamos la superficie (área):
![]()

![]()
El perímetro será;
![]()
