Superficie de figura plana 4008
SOLUCIÓN
Podemos calcular el área sombreada como el área del rectángulo grande menos el área de las zonas blancas.
Área del rectángulo =
Área del cuadrado pequeño =
Área del rectángulo pequeño =
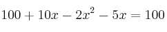
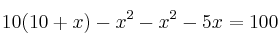
Por tanto el área sombreada será:
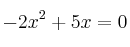
Como el área tiene que vale 100, igualamos a 100
Ecuación de segundo grado que resolvemos y obtenemos como soluciones:


Como "x" es una distancia tenemos que descartar valores nulos o negativos.
Por tanto la solución es
