ecuaciones grado1 paréntesis 💬 5 ecuacionesecuaciones de primer gradoecuaciones_con_paréntesisEjercicios_Resueltos Resuelve la ecuación: SOLUCIÓN Comentar el ejercicio Mensajes 27 de noviembre de 2006, 20:00, por dani 22 de junio de 2012, 15:45, por Meri ooh.. pero noo esta paso a paso :/ 21 de febrero de 2013, 19:32, por Isa Ya, lo necesito paso por paso, pero gracias igualmente :D 30 de abril de 2013, 18:27, por sergio 3-(x+3)=2x-1 3-x-3=2x-1 – x-2x=-1-3+3 – 3x=-1 x=-1/-3 = 1/3 17 de abril de 2016, 11:47, por Eu No lo he entendido
Mensajes
27 de noviembre de 2006, 20:00, por dani
22 de junio de 2012, 15:45, por Meri
ooh.. pero noo esta paso a paso :/
21 de febrero de 2013, 19:32, por Isa
Ya, lo necesito paso por paso, pero gracias igualmente :D
30 de abril de 2013, 18:27, por sergio
3-(x+3)=2x-1
3-x-3=2x-1
– x-2x=-1-3+3
– 3x=-1
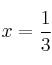
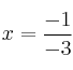
x=-1/-3 = 1/3
17 de abril de 2016, 11:47, por Eu
No lo he entendido