ecuaciones logaritmicas y exponenciales
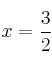
Resuelve la ecuación ![]()
SOLUCIÓN
Para resolver una ecuación exponencial:
1) Expresar en potencias de la misma base (aplicando las propiedades de las potencias)
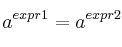
2) Debemos intentar llegar a una expresión del tipo
![]()
que al tener la misma base, podemos igualar los exponentes
![]()
![]()
![]()
![]()
![]()
![]()
