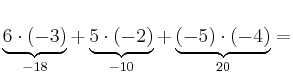
Suma, resta y producto de números enteros | enteros operaciones Calcula: – a) – b) SOLUCIÓN– a) Debemos hacer los productos primero – b) Secciones 1º BACH. CIENCIAS 1º BACH. SOC. 1º ESO 2º BACH. CIENCIAS 2º BACH. SOC. 2º ESO Ecuaciones Fracciones Geometría Gráficas y Funciones 2º ESO Números Enteros Polinomios Potencias Proporcionalidad Radicales 3º ESO 4º ESO Palabras clave enteros operaciones