geometría
La base de un rectángulo es 18 cm y su perímetro 6 m. Calcula cuánto valen su altura y su área.
SOLUCIÓN
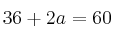
El perímetro es 6 m = 60 cm
![]()
![]()
![]()
![]()

La altura mide 12 cm
El área vale ![]()
La base de un rectángulo es 18 cm y su perímetro 6 m. Calcula cuánto valen su altura y su área.
El perímetro es 6 m = 60 cm
![]()
![]()
![]()
![]()

El área vale ![]()