inecuaciones grado1 1incógnita
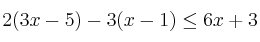
Resuelve la inecuación:

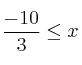
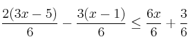
SOLUCIÓN
m.c.m.(3,2) = 6
Debemos colocar las "x" de forma que queden positivas (lo hacemos en las inecuaciones; no sería necesario en las ecuaciones)

Podemos expresar la solución en forma de intervalo:
![]()