Matemáticas IES

  • Inicio
  • Apuntes
  • Vídeos
  • Ejercicios
  • Ej. Resueltos
  • PAU
  • Acceso 25
  • Buscar
  • Portada del sitio
  • EJERCICIOS de Matemáticas
  • 1º BACH. SOC.
  • Polinomios
  • polinomios operaciones

polinomios operaciones

|
  • operaciones_con_polinomios
  • Ruffini
  • división_clásica_polinomios

Realiza las siguientes divisiones de polinomios (aplica la regla de Ruffini cuando sea posible):

– a) (x^4 - 2x^2 + 1) : (x+2)
– b) x^5 : (x^2 - 1)

SOLUCIÓN

– a) (x^4 - 2x^2 + 1) : (x+2)

 \polyhornerscheme[x=-2, resultstyle=\color{red},resultbottomrule,resultleftrule,resultrightrule]{x^4 - 2x^2 + 1}

Cociente: \: x^3-2x^2+2x-4
Resto: \: 9

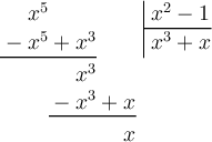
– b) x^5 : (x^2 - 1)

\polylongdiv[style=D]{x^5}{x^2-1}

Cociente: \: x^3+x
Resto: \: x

comentariosComentar el Ejercicio

  • Secciones
  • 1º BACH. CIENCIAS
  • 1º BACH. SOC.
    • Ecuaciones y Sistemas
    • Estadística
    • Exámenes
    • Funciones
    • Inecuaciones
    • Límites y Derivadas
    • Logarítmos
    • Matemática Financiera
    • Números Reales
    • Polinomios
    • Probabilidad
    • Variables Aleatorias bidimensionales
    • Variables Aleatorias Unidimensionales
  • 1º ESO
  • 2º BACH. CIENCIAS
  • 2º BACH. SOC.
  • 2º ESO
  • 3º ESO
  • 4º ESO

Palabras clave

  • división_clásica_polinomios
  • operaciones_con_polinomios
  • Ruffini

2001-2025  — Matemáticas IES
Mapa del sitio | Conectarse | Seguir la vida del sitio  RSS 2.0

SPIP