Navega sin publicidad Regístrate GRATIS
 
  Si ya estás registrado/a Identifícate

sistemas gauss 3x3 ejercicio 624

💬 1

  Ejercicios_Resueltosgausssistema_lineal_3_ecuaciones_3incógnitas

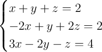
Resuelve por el método de Gauss el sistema de ecuaciones:

\left\{ \begin{array}{lcc}
             x + y + z = 2\\
             -2x + y + 2z = 2\\
             3x - 2y - z = 4
             \end{array}
   \right.

SOLUCIÓN

Método de Gauss (eliminación)

Transformamos el sistema en una matriz aumentada y realizamos operaciones elementales de fila hasta obtener una forma triangular superior. Después, resolvemos de abajo arriba.

Sistema de partida:

\begin{cases}x + y + z = 2\\-2x + y + 2z = 2\\3x - 2y - z = 4\end{cases}

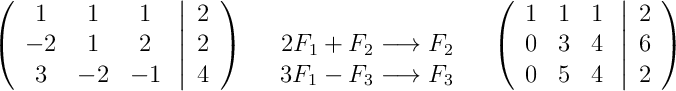
Paso 1 · Formamos la matriz aumentada del sistema

\left(\begin{array}{ccc}1 & 1 & 1\\-2 & 1 & 2\\3 & -2 & -1\end{array}\right.\left|\begin{array}{c}2\\2\\4\end{array}\right)

Paso 2 · Hacemos ceros debajo del pivote de la 1.ª columna

\left(\begin{array}{ccc}1 & 1 & 1\\-2 & 1 & 2\\3 & -2 & -1\end{array}\right.\left|\begin{array}{c}2\\2\\4\end{array}\right)\quad\begin{array}{c}\\2F_1+F_2 \longrightarrow F_2\\3F_1-F_3 \longrightarrow F_3\end{array}\quad\left(\begin{array}{ccc}1 & 1 & 1\\0 & 3 & 4\\0 & 5 & 4\end{array}\right.\left|\begin{array}{c}2\\6\\2\end{array}\right)

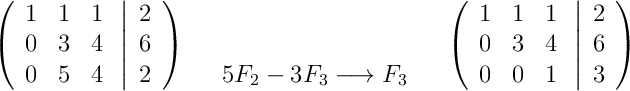
Paso 3 · Hacemos cero debajo del pivote de la 2.ª columna

\left(\begin{array}{ccc}1 & 1 & 1\\0 & 3 & 4\\0 & 5 & 4\end{array}\right.\left|\begin{array}{c}2\\6\\2\end{array}\right)\quad\begin{array}{c}\\\\5F_2-3F_3 \longrightarrow F_3\end{array}\quad\left(\begin{array}{ccc}1 & 1 & 1\\0 & 3 & 4\\0 & 0 & 1\end{array}\right.\left|\begin{array}{c}2\\6\\3\end{array}\right)

Paso 4 · Convertimos la matriz triangular en sistema

\begin{cases}x + y + z = 2\\3y + 4z = 6\\z = 3\end{cases}

Paso 5 · Resolvemos de abajo arriba (sustitución regresiva)

De la 3.ª ecuación obtenemos z:

z = 3 \longrightarrow {\color{blue} z = 3}

De la 2.ª ecuación obtenemos y:

3y + 4z = 6

3y + 4 \cdot 3 = 6

3y = -6 \longrightarrow {\color{blue} y = -2}

De la 1.ª ecuación obtenemos x:

x + y + z = 2

x + \left(-2\right) + 3 = 2

x = 1 \longrightarrow {\color{blue} x = 1}

Solución

\boxed{x = 1 \:,\: y = -2 \:,\: z = 3}

Comentar el ejercicio