Triángulos rectángulos
Los triángulos rectángulos tienen un ángulo recto (90º)
Triángulo rectángulo
Triángulo rectángulo
Los otros dos ángulos son complementarios (entre ambos suman 90º)
– Los lados que forman el ángulo recto se llaman catetos
– El otro lado se llama hipotenusa y es más grande que los catetos
Triángulo rectángulo. Hipotenusa y catetos
Catetos e hipotenusa de un triángulo rectángulo
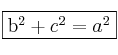
Teorema de Pitágoras
En todo triángulo rectángulo se cumple el teorema de Pitágoras
![]()
Teorema de Pitágoras
Teorema de Pitágoras en un triángulo rectánguo
