Cuadrado inscrito y circunscrito a una circunferencia
Dibuja los cuadrados inscrito y circunscrito en una circunferencia de radio 56,52. Calcula el área y el perímetro de cada cuadrado
SOLUCIÓN:
El cuadrado inscrito es el rojo (los vértices de un polígono inscrito deben estar en la circunferencia).
El cuadrado circunscrito es el verde (los lados de un polígono circunscrito son tangentes a la circunferencia).
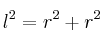
Para calcular área y perímetro del cuadrado inscrito necesitamos calcular el lado.
Si nos fijamos en el triángulo rojo, podemos aplicar Pitágoras:
![]()
![]()
![]()
![]()

El área del cuadrado es ![]()
El perímetro es ![]()
– En el cuadrado circunscrito el lado es el diámetro de la circunferencia
![]()
El área es ![]()
El perímetro es ![]()
Matemáticas IES