Ejercicio 2680 - Ecuaciones
Resuelve la ecuación:

SOLUCIÓN

m.c.m. (5,2,4) = 20
¿Como se hace el m.c.m.?

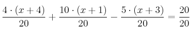
Ya que todos los denominadores son iguales podemos cancelarlos
![]()
Ya no hay denominadores.
Ahora pasamos a quitar parénteis
¿Cómo se quitan los paréntesis?
![]()