Ecuaciones de primer grado con paréntesis
Los pasos para resolver una ecuación de primer grado son los siguientes:
- Quitar paréntesis (si los hubiese)
- Quitar denominadores (si los hubiese)
- Trasposición de términos: colocar los términos con incógnita en un miembro y los que no tienen incógnita en el otro miembro (para ello usamos la Regla de la suma)
- Agrupar términos: Sumamos en cada miembro los términos semejantes (ver Suma de monomios)
- Despejar la incógnita: para ello usamos la Regla del producto
- simplificar el resultado: en la mayoría de ocasiones deberemos simplificar la fracción resultante.
Recordemos además la propiedad distributiva:
![]()
Veamos un ejemplo de una ecuación de primer grado con paréntesis:
![]()
¿Cómo quitar paréntesis?
–
–
– ![]()
La ecuación quedaría de la forma:
![]()
Términos con
a la izquierda y términos sin
a la derecha
![]()
Sumamos los términos en cada miembro
![]()
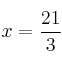
Despejamos la incógnita

Simplificamos
![]()
Mensajes
1ro de abril de 2016, 08:27, por Marina
Texto muy bueno
10 de agosto de 2016, 04:25, por Elian Alvarado
Pero, y si tengo en vez de multiplicacion, resta?
1ro de septiembre de 2019, 00:09, por nicol
es muy buena me ayudo mucho exelente