Halla número igual a mitad más cuarta parte más uno
Halla un número cuya mitad, más su cuarta parte, más 1, es igual a dicho número
SOLUCIÓN
Número desconocido ![]()


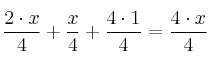
m.c.m. (2,4) = 4

![]()
![]()
![]()
el número pedido es 4
Halla un número cuya mitad, más su cuarta parte, más 1, es igual a dicho número
Número desconocido ![]()



![]()
![]()
![]()
el número pedido es 4