Operaciones con radicales [2842]
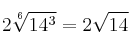
Calcula y simplifica: ![\frac{\sqrt[6]{4} \cdot 2\sqrt{14}}{\sqrt[3]{2}} \frac{\sqrt[6]{4} \cdot 2\sqrt{14}}{\sqrt[3]{2}}](local/cache-vignettes/L93xH75/92f94f04c2c24f7013d0b9c58bf09761-aa1e8.png?1688189864)
SOLUCIÓN:
![\frac{\sqrt[6]{4} \cdot 2\sqrt{14}}{\sqrt[3]{2}} = \frac{2 \cdot \sqrt[6]{4} \sqrt{14}}{\sqrt[3]{2}} \frac{\sqrt[6]{4} \cdot 2\sqrt{14}}{\sqrt[3]{2}} = \frac{2 \cdot \sqrt[6]{4} \sqrt{14}}{\sqrt[3]{2}}](local/cache-vignettes/L213xH75/b0e94cdd4400daabec8f6c4e2329ec47-ada64.png?1688309718)
Para poder multiplicar o dividir radicales deben tener el mismo índice.
Como no lo tienen, tenemos que hacer índice común.
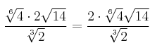
Empezamos con el producto del numerador.
m.c.m.(6,2) = 6
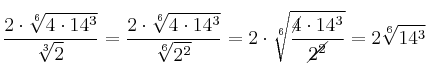
![\frac{2 \cdot \sqrt[6]{4} \sqrt{14}}{\sqrt[3]{2}} = \frac{2 \cdot \sqrt[6]{4} \sqrt[6]{14^3}}{\sqrt[3]{2}} = \frac{2 \cdot \sqrt[6]{4 \cdot 14^3}}{\sqrt[3]{2}} \frac{2 \cdot \sqrt[6]{4} \sqrt{14}}{\sqrt[3]{2}} = \frac{2 \cdot \sqrt[6]{4} \sqrt[6]{14^3}}{\sqrt[3]{2}} = \frac{2 \cdot \sqrt[6]{4 \cdot 14^3}}{\sqrt[3]{2}}](local/cache-vignettes/L342xH77/2ce9d5c3f98a422a60ca03b3f58c32b8-15eec.png?1688306118)
Ahora la división: m.c.m.(6,3)=6
![\frac{2 \cdot \sqrt[6]{4 \cdot 14^3}}{\sqrt[3]{2}}=\frac{2 \cdot \sqrt[6]{4 \cdot 14^3}}{\sqrt[6]{2^2}} =2 \cdot \sqrt[6]{\frac{\cancel{4} \cdot 14^3}{\cancel{2^2}}} = 2 \sqrt[6]{14^3} \frac{2 \cdot \sqrt[6]{4 \cdot 14^3}}{\sqrt[3]{2}}=\frac{2 \cdot \sqrt[6]{4 \cdot 14^3}}{\sqrt[6]{2^2}} =2 \cdot \sqrt[6]{\frac{\cancel{4} \cdot 14^3}{\cancel{2^2}}} = 2 \sqrt[6]{14^3}](local/cache-vignettes/L427xH80/7e8f0338a6f04f7d37086cbdf05c0ae8-2227d.png?1688306118)
Se puede simplificar dividiendo índice y exponente por un mismo número
![2 \sqrt[6]{14^3} = 2 \sqrt{14} 2 \sqrt[6]{14^3} = 2 \sqrt{14}](local/cache-vignettes/L130xH52/4a00a8f3f2b866dfb1243e506c6c08b7-d68a3.png?1688309718)
Matemáticas IES