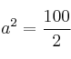
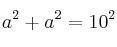
Pitágoras. Lado de cuadrado a partir de diagonal | geometría pitágoras Calcula el lado de un cuadrado, cuya diagonal mide 10 cm. SOLUCIÓN Por el teorema de Pitágoras: Secciones 1º BACH. CIENCIAS 1º BACH. SOC. 1º ESO 2º BACH. CIENCIAS 2º BACH. SOC. 2º ESO 3º ESO Ecuaciones Estadística Funciones y Gráficas Geometría Números Reales Polinomios Potencias Probabilidad Problemas especiales Proporcionalidad y Porcentajes Radicales Sistemas de ecuaciones Sucesiones 4º ESO Palabras clave geometría pitágoras