Potencias Simplificar (2848)
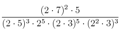
Simplifica la expresión:

SOLUCIÓN

Pasamos de numerador a denominador (o viceversa) las potencias con exponente negativo, para asi trabajar con todos los exponentes positivos

Factorizamos las bases que no sean primos

Quitamos paréntesis

Agrupamos los que tengan la misma base, primero en el numerador y después en el denominador

Finalmente simplificamos
