Proporcionalidad de velocidades
SOLUCIÓN
La situación inicial es la siguiente

En la siguiente imagen marcamos los puntos de encuentro:
– el punto de encuentro de C y A (pasados x km)
– el punto de encuentro de C y B (50 km después)

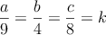
Supongamos que a, b y c son las velocidades de A, B y C (que son proporcionales a 9,4 y 8). Lo podemos expresar así:
Los 3 cocientes son iguales. A su valor le llamamos k (constante de proporcionalidad)
Entonces las velocidades (en km/h) son:
Recordemos que
Cuando se encuentran C y A sus tiempos son iguales, por tanto:
Igualmente, cuando se encuentran C y B obtenemos
Tenemos un sistema de dos ecuaciones con dos incógnitas
En primer lugar quitamos denominadores multiplicando en cruz
Resolvemos por reducción: multiplicamos por (-1) la segunda ecuación y las sumamos
Ahora debemos calcular "y" (que es el espacio que nos piden)
Tomamos una de las ecuaciones y sustituimos x por su valor
Recorrió