Radicales Simplificar
Opera y simplifica:
–
–
–
–
– ![\sqrt[3]{5^{-6}} \sqrt[3]{5^{-6}}](local/cache-vignettes/L53xH52/5ad4af785acde2c9d7fa987a3edd16c0-9d4c1.png?1688227142)
SOLUCIÓN:
– 
– ![\sqrt[3]{-81}=\sqrt[3]{(-1) \cdot 3^4}=\sqrt[3]{(-1) \cdot 3^3 \cdot 3}=3\sqrt[3]{(-1) 3}=3 \sqrt[3]{-3} \sqrt[3]{-81}=\sqrt[3]{(-1) \cdot 3^4}=\sqrt[3]{(-1) \cdot 3^3 \cdot 3}=3\sqrt[3]{(-1) 3}=3 \sqrt[3]{-3}](local/cache-vignettes/L497xH57/4c27bd1c398e25f7bf7a4158e7206fa0-4140d.png?1688230742)
– ![\left( \sqrt[3]{2} \right)^8 = \sqrt[3]{2^8}=\sqrt[3]{2^3 \cdot 2^3 \cdot 2^2} = 2 \cdot 2 \sqrt[3]{2^2} =4 \sqrt[3]{4} \left( \sqrt[3]{2} \right)^8 = \sqrt[3]{2^8}=\sqrt[3]{2^3 \cdot 2^3 \cdot 2^2} = 2 \cdot 2 \sqrt[3]{2^2} =4 \sqrt[3]{4}](local/cache-vignettes/L402xH58/4f7e84572fc2a3ab2cb91d9f85c871e5-e2f6a.png?1688230742)
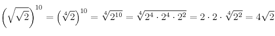
– ![\left( \sqrt{\sqrt{2}} \right)^{10} =\left( \sqrt[4]{2} \right)^{10} = \sqrt[4]{2^{10}}=\sqrt[4]{2^4 \cdot 2^4 \cdot 2^2} = 2 \cdot 2 \cdot \sqrt[4]{2^2}=4\sqrt{2} \left( \sqrt{\sqrt{2}} \right)^{10} =\left( \sqrt[4]{2} \right)^{10} = \sqrt[4]{2^{10}}=\sqrt[4]{2^4 \cdot 2^4 \cdot 2^2} = 2 \cdot 2 \cdot \sqrt[4]{2^2}=4\sqrt{2}](local/cache-vignettes/L538xH72/a5006046cec85a2368244669a083734c-b5331.png?1688227142)
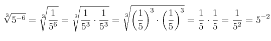
– ![\sqrt[3]{5^{-6}} = \sqrt[3]{\frac{1}{5^6}} = \sqrt[3]{\frac{1}{5^3} \cdot \frac{1}{5^3}} = \sqrt[3]{\left( \frac{1}{5} \right)^3 \cdot \left( \frac{1}{5} \right)^3} = \frac{1}{5} \cdot \frac{1}{5} = \frac{1}{5^{2}} = 5^{-2} \sqrt[3]{5^{-6}} = \sqrt[3]{\frac{1}{5^6}} = \sqrt[3]{\frac{1}{5^3} \cdot \frac{1}{5^3}} = \sqrt[3]{\left( \frac{1}{5} \right)^3 \cdot \left( \frac{1}{5} \right)^3} = \frac{1}{5} \cdot \frac{1}{5} = \frac{1}{5^{2}} = 5^{-2}](local/cache-vignettes/L540xH82/5785b23234145e3e989aba6d1877cf54-de533.png?1688230742)
El último también se puede hacer directamente dividiendo exponente (-6) entre índice(3) o incluso pasando la raíz a potencia
![\sqrt[3]{5^{-6}}=5^{\frac{-6}{3}} = 5^{-2} \sqrt[3]{5^{-6}}=5^{\frac{-6}{3}} = 5^{-2}](local/cache-vignettes/L163xH53/63394be045d64ccf02e3496701526fda-aeb02.png?1688227142)
Opera y simplifica:
–
–
–
–
– ![\sqrt[3]{5^{-6}} \sqrt[3]{5^{-6}}](local/cache-vignettes/L53xH52/5ad4af785acde2c9d7fa987a3edd16c0-9d4c1.png?1688227142)
SOLUCIÓN:
– 
– ![\sqrt[3]{-81}=\sqrt[3]{(-1) \cdot 3^4}=\sqrt[3]{(-1) \cdot 3^3 \cdot 3}=3\sqrt[3]{(-1) 3}=3 \sqrt[3]{-3} \sqrt[3]{-81}=\sqrt[3]{(-1) \cdot 3^4}=\sqrt[3]{(-1) \cdot 3^3 \cdot 3}=3\sqrt[3]{(-1) 3}=3 \sqrt[3]{-3}](local/cache-vignettes/L497xH57/4c27bd1c398e25f7bf7a4158e7206fa0-4140d.png?1688230742)
– ![\left( \sqrt[3]{2} \right)^8 = \sqrt[3]{2^8}=\sqrt[3]{2^3 \cdot 2^3 \cdot 2^2} = 2 \cdot 2 \sqrt[3]{2^2} =4 \sqrt[3]{4} \left( \sqrt[3]{2} \right)^8 = \sqrt[3]{2^8}=\sqrt[3]{2^3 \cdot 2^3 \cdot 2^2} = 2 \cdot 2 \sqrt[3]{2^2} =4 \sqrt[3]{4}](local/cache-vignettes/L402xH58/4f7e84572fc2a3ab2cb91d9f85c871e5-e2f6a.png?1688230742)
– ![\left( \sqrt{\sqrt{2}} \right)^{10} =\left( \sqrt[4]{2} \right)^{10} = \sqrt[4]{2^{10}}=\sqrt[4]{2^4 \cdot 2^4 \cdot 2^2} = 2 \cdot 2 \cdot \sqrt[4]{2^2}=4\sqrt{2} \left( \sqrt{\sqrt{2}} \right)^{10} =\left( \sqrt[4]{2} \right)^{10} = \sqrt[4]{2^{10}}=\sqrt[4]{2^4 \cdot 2^4 \cdot 2^2} = 2 \cdot 2 \cdot \sqrt[4]{2^2}=4\sqrt{2}](local/cache-vignettes/L538xH72/a5006046cec85a2368244669a083734c-b5331.png?1688227142)
– ![\sqrt[3]{5^{-6}} = \sqrt[3]{\frac{1}{5^6}} = \sqrt[3]{\frac{1}{5^3} \cdot \frac{1}{5^3}} = \sqrt[3]{\left( \frac{1}{5} \right)^3 \cdot \left( \frac{1}{5} \right)^3} = \frac{1}{5} \cdot \frac{1}{5} = \frac{1}{5^{2}} = 5^{-2} \sqrt[3]{5^{-6}} = \sqrt[3]{\frac{1}{5^6}} = \sqrt[3]{\frac{1}{5^3} \cdot \frac{1}{5^3}} = \sqrt[3]{\left( \frac{1}{5} \right)^3 \cdot \left( \frac{1}{5} \right)^3} = \frac{1}{5} \cdot \frac{1}{5} = \frac{1}{5^{2}} = 5^{-2}](local/cache-vignettes/L540xH82/5785b23234145e3e989aba6d1877cf54-de533.png?1688230742)
El último también se puede hacer directamente dividiendo exponente (-6) entre índice(3) o incluso pasando la raíz a potencia
![\sqrt[3]{5^{-6}}=5^{\frac{-6}{3}} = 5^{-2} \sqrt[3]{5^{-6}}=5^{\frac{-6}{3}} = 5^{-2}](local/cache-vignettes/L163xH53/63394be045d64ccf02e3496701526fda-aeb02.png?1688227142)