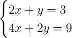
Sistema 2x2 analítica y gráficamente
Resuelve analírica y gráficamente el sistema de ecuaciones:

SOLUCIÓN
Método de Sustitución
Despejamos una incógnita en una de las ecuaciones y sustituimos esa expresión en la otra, obteniendo una ecuación con una sola incógnita.
Sistema de partida:

Paso previo · Elegimos qué incógnita despejar
El coeficiente de y en la Ec.1 es 1: despejamos y de esa ecuación porque no aparecerán fracciones.
Paso 1 · Despejamos y de la primera ecuación
![]()
Paso 2 · Sustituimos y en la segunda ecuación
![]()
Paso 3 · Desarrollamos el paréntesis
![]()
Paso 4 · Agrupamos los términos con x a un lado y los números al otro
![]()
La ecuación
![]()
Sistema incompatible: las ecuaciones representan rectas paralelas que no se cortan. No tiene solución.
Resolución gráfica
Sistema de partida:

Forma explícita de cada recta:
Recta 1 (azul) —
:
![]()
Recta 2 (roja) —
:

Las dos rectas son paralelas y nunca se cortan (sin solución).
![\begin{tikzpicture}
\begin{axis}[width=7cm,height=7cm,axis lines=center,xlabel=x,ylabel=y,
xmin=-7,xmax=7,ymin=-7,ymax=7,
xtick distance=2,ytick distance=2,
grid=both,grid style={line width=.2pt,draw=gray!30},
major grid style={line width=.4pt,draw=gray!60},
tick label style={font=\scriptsize},
legend style={font=\scriptsize,at={(0.02,0.98)},anchor=north west}]
\addplot[blue,very thick,domain=-7:7,samples=2]{(3-(2)*x)/(1)};
\addlegendentry{\(2x + y = 3\)}
\addplot[red,very thick,domain=-7:7,samples=2]{(9-(4)*x)/(2)};
\addlegendentry{\(4x + 2y = 9\)}
\end{axis}
\end{tikzpicture} \begin{tikzpicture}
\begin{axis}[width=7cm,height=7cm,axis lines=center,xlabel=x,ylabel=y,
xmin=-7,xmax=7,ymin=-7,ymax=7,
xtick distance=2,ytick distance=2,
grid=both,grid style={line width=.2pt,draw=gray!30},
major grid style={line width=.4pt,draw=gray!60},
tick label style={font=\scriptsize},
legend style={font=\scriptsize,at={(0.02,0.98)},anchor=north west}]
\addplot[blue,very thick,domain=-7:7,samples=2]{(3-(2)*x)/(1)};
\addlegendentry{\(2x + y = 3\)}
\addplot[red,very thick,domain=-7:7,samples=2]{(9-(4)*x)/(2)};
\addlegendentry{\(4x + 2y = 9\)}
\end{axis}
\end{tikzpicture}](local/cache-TeX/053af64b3d7528222abf7c994a5e851f.png)
Sistema incompatible: sin solución.
![]()