Sistema 2x2 de forrma gráfica y analítica
Resuelve analírica y gráficamente el sistema de ecuaciones:

SOLUCIÓN
Método de Reducción
Multiplicamos las ecuaciones por números adecuados de forma que, al sumar o restar, una incógnita se elimine.
Sistema de partida:

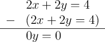
Paso previo · Elegimos la incógnita a eliminar
1 es múltiplo de 2 (coeficientes de x). Basta con multiplicar la Ec.1 por 2.
Paso 1 · Sistema equivalente tras multiplicar
![]()
![]()
Paso 2 · Mismo signo en x: restamos para eliminarla

La ecuación
![]()
Sistema compatible indeterminado: las dos ecuaciones son proporcionales y representan la misma recta. Hay infinitas soluciones.
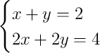
Resolución gráfica
Sistema de partida:

Forma explícita de cada recta:
Recta 1 (azul) —
:
![]()
Recta 2 (roja) —
:
![]()
Las dos ecuaciones representan la misma recta (infinitas soluciones).
La recta 2 se dibuja en trazos rojos sobre la azul.
![\begin{tikzpicture}
\begin{axis}[width=7cm,height=7cm,axis lines=center,xlabel=x,ylabel=y,
xmin=-5,xmax=5,ymin=-5,ymax=5,
xtick distance=1,ytick distance=1,
grid=both,grid style={line width=.2pt,draw=gray!30},
major grid style={line width=.4pt,draw=gray!60},
tick label style={font=\scriptsize},
legend style={font=\scriptsize,at={(0.02,0.98)},anchor=north west}]
\addplot[blue,very thick,domain=-5:5,samples=2]{(2-(1)*x)/(1)};
\addlegendentry{\(x + y = 2\)}
\addplot[red,very thick,dashed,domain=-5:5,samples=2]{(4-(2)*x)/(2)};
\addlegendentry{\(2x + 2y = 4\)}
\end{axis}
\end{tikzpicture} \begin{tikzpicture}
\begin{axis}[width=7cm,height=7cm,axis lines=center,xlabel=x,ylabel=y,
xmin=-5,xmax=5,ymin=-5,ymax=5,
xtick distance=1,ytick distance=1,
grid=both,grid style={line width=.2pt,draw=gray!30},
major grid style={line width=.4pt,draw=gray!60},
tick label style={font=\scriptsize},
legend style={font=\scriptsize,at={(0.02,0.98)},anchor=north west}]
\addplot[blue,very thick,domain=-5:5,samples=2]{(2-(1)*x)/(1)};
\addlegendentry{\(x + y = 2\)}
\addplot[red,very thick,dashed,domain=-5:5,samples=2]{(4-(2)*x)/(2)};
\addlegendentry{\(2x + 2y = 4\)}
\end{axis}
\end{tikzpicture}](local/cache-TeX/7c9174cd2b5b88ecf66f0c5ed9d7539e.png)
Sistema compatible indeterminado: infinitas soluciones.
![]()