UNED A25 - 2012 Junio D 08
SOLUCIÓN
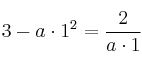
Para que sea continua en
se tiene que cumplir que:
Si resolvemos la ecuación, tenemos dos posibles soluciones:
y ![]()
UNED - Acceso 25
Matemáticas (ciencias)
- 2013 Junio Modelo A
- 2012 Septiembre Modelo M
- 2012 Septiembre Modelo G
- 2012 Junio Modelo D
- 2012 Junio Modelo M
- 2012 Junio Modelo N
- 2011 Septiembre Modelo 4
Tipo de Ejercicio
combinatoria UNED
composición_de_funciones UNED
derivadas UNED
dominio_de_una_función UNED
ecuación_de_la_recta UNED
funciones_asíntotas UNED
funciones_continuidad UNED
funciones_extremos UNED
funciones_inflexión UNED
integrales UNED
límites_de_funciones UNED
matrices UNED
polinomios UNED
probabilidad UNED
sistemas_de_ecuaciones UNED
trigonometría UNED
vectores_en_el_espacio UNED
vectores_en_el_plano UNED
Matem. Sociales
combinatoria UNED
composición_de_funciones UNED
derivadas UNED
dominio_de_una_función UNED
ecuación_de_la_recta UNED
funciones_asíntotas UNED
funciones_continuidad UNED
funciones_extremos UNED
funciones_inflexión UNED
integrales UNED
límites_de_funciones UNED
matrices UNED
polinomios UNED
probabilidad UNED
sistemas_de_ecuaciones UNED
trigonometría UNED
vectores_en_el_espacio UNED
vectores_en_el_plano UNED
Matemáticas IES
es continua en todo