ecuaciones grado1 denominadores
Resuelve la ecuación:

SOLUCIÓN:

Ponemos denominador a los términos que no tengan

Hacemos el m.c.m. de los denominadores:
m.c.m.(3,5,1) = 15

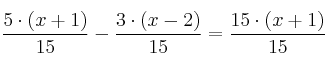
Quitamos denominadores
![]()
Quitamos paréntesis
![]()

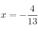
Resuelve la ecuación:

SOLUCIÓN:



![]()
![]()
