ecuaciones grado1 denominadores
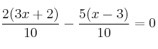
Resuelve la ecuación: 
SOLUCIÓN

(Se podría poner un 1 bajo el 0 e incluirlo en el m.c.m. pero no es necesario

Quitamos denominadores
![]()
![]()
![]()
![]()
Resuelve la ecuación: 

(Se podría poner un 1 bajo el 0 e incluirlo en el m.c.m. pero no es necesario

Quitamos denominadores
![]()
![]()
![]()
![]()