• Apuntes
  • Vídeos
  • Ejercicios
    • Resueltos
    • Por Curso
      • 1º ESO
      • 2º ESO
      • 3º ESO
      • 4º ESO
      • 1º BACH. CIENCIAS
      • 1º BACH. SOCIALES
      • 2º BACH. CIENCIAS
      • 2º BACH. SOCIALES
  • Más recursos
    • Actividades Interactivas
    • Selectividad (PAU)
    • Acceso Mayores 25
    • LaTeX
Inicio ›EJERCICIOS de Matemáticas ›3º ESO ›Ecuaciones ›ecuaciones grado2

ecuaciones grado2

ecuacionesecuaciones-segundo-gradoEjercicios_Resueltosformula ecuación 2º grado

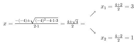
Resuelve la ecuación:  x^2-4x+3=0

SOLUCIÓN

x=1 ; x=3

\begin{array}{ccc}
 & & x_1 = \frac{4+2}{2}=3
\\ & \nearrow &
\\ x=\frac{-(-4) \pm \sqrt{(-4)^2 -4 \cdot 1 \cdot 3}}{2 \cdot 1}= \frac{4 \pm \sqrt{4}}{2}=& &
\\ & \searrow &
\\ & & x_2 = \frac{4-2}{2}=1
\end{array}

Comentar el ejercicio

  • 3º ESO
    • Sistemas de ecuaciones
    • Ecuaciones
    • Polinomios
    • Radicales
    • Potencias
    • Proporcionalidad y Porcentajes
    • Números Reales
    • Funciones y Gráficas
    • Sucesiones
    • Probabilidad
    • Geometría
    • Estadística
    • Problemas especiales
  • Mapa del sitio
  • Conectarse
  • 2001-2026 — Matemáticas IES — Contactar con dani