Matemáticas IES

  • Inicio
  • Apuntes
  • Vídeos
  • Ejercicios
  • Ej. Resueltos
  • PAU
  • Acceso 25
  • Buscar
  • Portada del sitio
  • EJERCICIOS de Matemáticas
  • 3º ESO
  • Ecuaciones
  • ecuaciones grado2 incompleta

ecuaciones grado2 incompleta

|
  • ecuaciones
  • ecuaciones-segundo-grado
  • incompleta

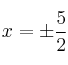
Resuelve la ecuación:  4x^2-25=0

SOLUCIÓN

 4x^2-25=0
 4x^2=25
 x^2=\frac{25}{4}
 x=\pm \sqrt{\frac{25}{4}} =\pm \frac{\sqrt{25}}{\sqrt{4}}

x=\pm \frac{5}{2}

comentariosComentar el Ejercicio

  • Secciones
  • 1º BACH. CIENCIAS
  • 1º BACH. SOC.
  • 1º ESO
  • 2º BACH. CIENCIAS
  • 2º BACH. SOC.
  • 2º ESO
  • 3º ESO
    • Ecuaciones
    • Estadística
    • Funciones y Gráficas
    • Geometría
    • Números Reales
    • Polinomios
    • Potencias
    • Probabilidad
    • Problemas especiales
    • Proporcionalidad y Porcentajes
    • Radicales
    • Sistemas de ecuaciones
    • Sucesiones
  • 4º ESO

Palabras clave

  • ecuaciones
  • ecuaciones-segundo-grado
  • incompleta

2001-2025  — Matemáticas IES
Mapa del sitio | Conectarse | Seguir la vida del sitio  RSS 2.0

SPIP