ecuaciones irracionales
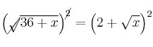
Resuelve la ecuación: ![]()
SOLUCIÓN
![]()
Aislamos una de las raíces y elevamos al cuadrado para eliminarla
![]()

En el segundo miembro debemos aplicar las fórmulas de las igualdades notables

![]()
Aún queda una raíz. Debemos aislarla y elevar al cuadrado
![]()
![]()
![]()

![]()
Recordemos que en las ecuaciones irracionales hay que verificar las soluciones
![]()


![]()
La solución
es CORRECTA