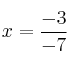
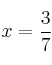
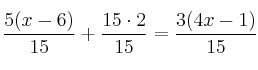
ecuaciones primer grado con denominadores | 2 | ecuaciones ecuaciones de primer grado ecuaciones con denominadores Resuelve la ecuación: SOLUCIÓN m.c.m.(3,1,5)=15 Secciones 1º BACH. CIENCIAS 1º BACH. SOC. 1º ESO 2º BACH. CIENCIAS 2º BACH. SOC. 2º ESO 3º ESO Ecuaciones Estadística Funciones y Gráficas Geometría Números Reales Polinomios Potencias Probabilidad Problemas especiales Proporcionalidad y Porcentajes Radicales Sistemas de ecuaciones Sucesiones 4º ESO Palabras clave ecuaciones ecuaciones con denominadores ecuaciones de primer grado