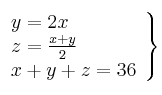
ecuaciones problemas | ecuaciones problemas_con_sistemas En una reunión hay el doble número de mujeres que de hombres. El número de niños es la mitad que el de adultos. Sabiendo que en total hay 36 personas, calcula el número de hombres, mujeres y niños. SOLUCIÓNnº hombres: x nº mujeres: y nº niños: z ; ; Hombres: 8 ; Mujeres: 16 ; Niños: 12 Secciones 1º BACH. CIENCIAS 1º BACH. SOC. 1º ESO 2º BACH. CIENCIAS 2º BACH. SOC. 2º ESO 3º ESO Ecuaciones Estadística Funciones y Gráficas Geometría Números Reales Polinomios Potencias Probabilidad Problemas especiales Proporcionalidad y Porcentajes Radicales Sistemas de ecuaciones Sucesiones 4º ESO Palabras clave ecuaciones problemas_con_sistemas