funciones ecuación_recta
Calcula la ecuación de la recta que pasa por los puntos
y ![]()
SOLUCIÓN
Podemos expresar la ecuación de cualquier recta de la forma:
![]()
Si pasa por
Si pasa por
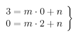
Tenemos un sistema de 2 ecuaciones con 2 incógnitas (m y n):

Lo ordenamos:

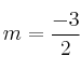
Lo resolvemos. En la 1ª ecuación ya tenemos el valor de n=3
Sustituimos en la 2ª ecuación:
![]()
![]()
![]()

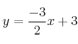
Por tanto la ecuación de la recta es:
