funciones gráfica
Representa gráficamente la función:
![]()
SOLUCIÓN
![]()
Se trata de una función cuadrática cuya gráfica es una parábola.
Para representar una parábola debemos seguir estos 4 pasos:
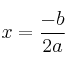
– 1) Calcular el vértice
En la parábola
la primera coordenada del vértice se calcula con la fórmula: 

Para calcular la segunda coordenada sustituimos el valor obtenido de "x" en la ecuación de la parábola:
![]()
Por tanto el vértice es:
![]()
– 2) Orientación
Como el coeficiente de
es
se trata de una parábola convexa (vértice abajo y ramas hacia arriba).
Con vértice y orientación ya podemos hacernos una idea de cómo será la parábola
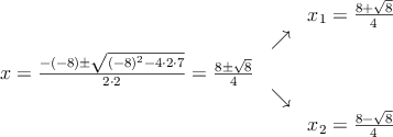
– 3) Corte con los ejes de coordenadas
Si ![]()
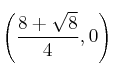
Punto de corte ![]()
Si ![]()
Resolvemos la ecuación de segundo grado

Puntos de corte
y
Para dibujarlos podemos tomar una aproximación:


Dibujamos los puntos de corte
– 4) Otros puntos
Ahora calculamos otros puntos de la parábola y después de ello unimos y la dibujamos
