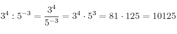
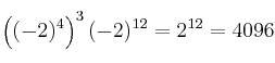
potencias | potencias Calcula el valor de las siguientes expresiones: – a) – b) – c) – d) SOLUCIÓN– a) – b) – c) – d) Secciones 1º BACH. CIENCIAS 1º BACH. SOC. 1º ESO 2º BACH. CIENCIAS 2º BACH. SOC. 2º ESO 3º ESO Ecuaciones Estadística Funciones y Gráficas Geometría Números Reales Polinomios Potencias Probabilidad Problemas especiales Proporcionalidad y Porcentajes Radicales Sistemas de ecuaciones Sucesiones 4º ESO Palabras clave potencias