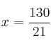
sistemas lineal 2x2 💬 2 sistema_lineal_2_ecuaciones_2_incognitas Resuelve el sistema de ecuaciones: SOLUCIÓN ; Comentar el ejercicio Mensajes 29 de enero de 2015, 20:29 Hola buenas creo que la solución de este ejercicio esta mal ya que y=25-2•130/21/-5 ; y=25-260/21/-5•(-5) ; -5y=25-260/21•21 ; -105y=25-260 ; -105/-105=-235/-105;y=-235/-105;235/105;47/21 lo cual dice que y=47/21 29 de enero de 2015, 22:30, por dani Hemos repasado el sistema y las soluciones son correctas. Un saludo.
Mensajes
29 de enero de 2015, 20:29
Hola buenas creo que la solución de este ejercicio esta mal ya que y=25-2•130/21/-5 ; y=25-260/21/-5•(-5) ; -5y=25-260/21•21 ; -105y=25-260 ; -105/-105=-235/-105;y=-235/-105;235/105;47/21 lo cual dice que y=47/21
29 de enero de 2015, 22:30, por dani
Hemos repasado el sistema y las soluciones son correctas.
Un saludo.