sistemas lineal 2x2
Resuelve el sistema de ecuaciones:

SOLUCIÓN
Método de Sustitución
Despejamos una incógnita en una de las ecuaciones y sustituimos esa expresión en la otra, obteniendo una ecuación con una sola incógnita.
Sistema de partida:

Paso previo · Elegimos qué incógnita despejar
Ningún coeficiente es 1 ni −1. Elegimos despejar y de la Ec.1 (coeficiente -3, el menor en valor absoluto).
Paso 1 · Despejamos y de la primera ecuación
![]()

Paso 2 · Sustituimos y en la segunda ecuación

Paso 3 · Multiplicamos todos los términos por -3 para eliminar el denominador
![]()
Paso 4 · Agrupamos los términos con x a un lado y los números al otro
![]()
Paso 5 · Despejamos x

Paso 6 · Sustituimos x en la expresión del Paso 1 para hallar y

![]()
Solución

Método de Igualación
Despejamos la misma incógnita (x) en las dos ecuaciones e igualamos las expresiones resultantes. Así obtenemos una ecuación con solo y.
Sistema de partida:

Paso 1 · Despejamos x de la primera ecuación
![]()

Paso 2 · Despejamos x de la segunda ecuación
![]()

Paso 3 · Como ambas expresiones son iguales a x, las igualamos entre sí

Paso 4 · Multiplicamos en cruz para eliminar los denominadores
![]()
Paso 5 · Desarrollamos los paréntesis
![]()
Paso 6 · Pasamos todos los términos con y a la izquierda y los números a la derecha
![]()
Paso 7 · Despejamos y
![]()
Paso 8 · Sustituimos y en la expresión del Paso 1 para hallar x


Solución

Método de Reducción
Multiplicamos las ecuaciones por números adecuados de forma que, al sumar o restar, una incógnita se elimine.
Sistema de partida:

Paso previo · Elegimos la incógnita a eliminar
Multiplicamos la Ec.1 por 3 y la Ec.2 por 2 para igualar los coeficientes de x.
Paso 1 · Sistema equivalente tras multiplicar
![]()
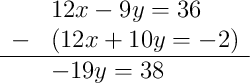
![]()
Paso 2 · Mismo signo en x: restamos para eliminarla

Paso 3 · Despejamos y
![]()
Paso 4 · Sustituimos y en la primera ecuación para hallar x
![]()
![]()


Solución
