Cociente de polinomios (II)
Cociente de polinomios.
Parte II - Polinomio entre binomio
Procedemos de igual forma que al dividir polinomio entre binomio
– Ordenamos el dividendo en forma decreciente (de mayor a menor).
– Si faltase algún término dejamos espacio en blanco.
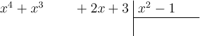
![\polylongdiv[style=D, stage=1]{x^4+x^3+2x+3}{x^2-1}
\polylongdiv[style=D, stage=1]{x^4+x^3+2x+3}{x^2-1}](local/cache-TeX/fe139a5d545ffb53aa06f9336680ca85.png)
Dividimos el término de mayor grado del dividendo entre el término de mayor grado del divisor:
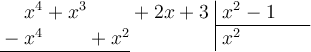
![\polylongdiv[style=D, stage=2]{x^4+x^3+2x+3}{x^2-1} \polylongdiv[style=D, stage=2]{x^4+x^3+2x+3}{x^2-1}](local/cache-TeX/a34817224fb881a57964966b53be8367.png)
Multiplicamos el término obtenido
por el divisor y ponemos el resultado cambiado de signo bajo el dividendo
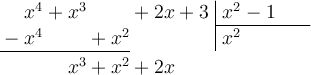
![\polylongdiv[style=D, stage=3]{x^4+x^3+2x+3}{x^2-1} \polylongdiv[style=D, stage=3]{x^4+x^3+2x+3}{x^2-1}](local/cache-TeX/e50516a35f939fe85b7cbb1666c619a7.png)
Sumamos. El primer término siempre se simplificará (si no se cancela, algo hemos hecho mal)
![\polylongdiv[style=D, stage=4]{x^4+x^3+2x+3}{x^2-1} \polylongdiv[style=D, stage=4]{x^4+x^3+2x+3}{x^2-1}](local/cache-TeX/5af3a4d2d5912a857d3331dfc32d3f82.png)
Volvemos a repetir el proceso: dividimos el término de mayor grado
del nuevo dividendo entre el el término de mayor grado
del divisor
![\polylongdiv[style=D, stage=5]{x^4+x^3+2x+3}{x^2-1} \polylongdiv[style=D, stage=5]{x^4+x^3+2x+3}{x^2-1}](local/cache-TeX/96c28f0e5858ac13e0d68928b3f733bf.png)
No paramos hasta que el grado del resto sea menor que el grado del divisor
![\polylongdiv[style=D]{x^4+x^3+2x+3}{x^2-1} \polylongdiv[style=D]{x^4+x^3+2x+3}{x^2-1}](local/cache-TeX/f0c9fa7e31a45a212da54365f9e52539.png)
Cociente: ![]()
Resto: ![]()