Resumen de fórmulas (derivadas)
En las siguientes fórmulas de derivadas:
–
y
representan funciones
–
es una constante (un número)
Operaciones
![\begin{tabular}{|c|} \hline
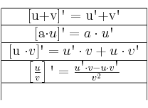
[u+v]\textsc{\char13} = u\textsc{\char13}+v\textsc{\char13} \\ \hline
[a\cdot u]\textsc{\char13} =a \cdot u\textsc{\char13} \\ \hline
[u \cdot v]\textsc{\char13} = u\textsc{\char13}\cdot v + u\cdot v\textsc{\char13} \\ \hline
\left[ \frac{u}{v} \right]\textsc{\char13} = \frac{u\textsc{\char13}\cdot v - u\cdot v\textsc{\char13}}{v^2} \\ \hline
\end{tablar}
\begin{tabular}{|c|} \hline
[u+v]\textsc{\char13} = u\textsc{\char13}+v\textsc{\char13} \\ \hline
[a\cdot u]\textsc{\char13} =a \cdot u\textsc{\char13} \\ \hline
[u \cdot v]\textsc{\char13} = u\textsc{\char13}\cdot v + u\cdot v\textsc{\char13} \\ \hline
\left[ \frac{u}{v} \right]\textsc{\char13} = \frac{u\textsc{\char13}\cdot v - u\cdot v\textsc{\char13}}{v^2} \\ \hline
\end{tablar}](local/cache-TeX/a53a0425a7009d8c02243b23da0daeb3.png)
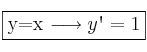
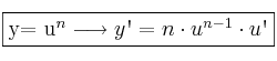
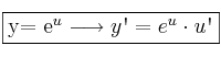
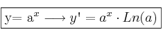
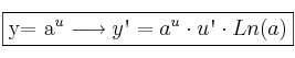
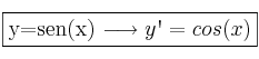
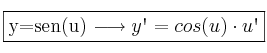
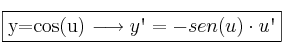
Fórmulas




![]()


![]()


![]()


![]()


![]()


![]()


En las siguientes fórmulas de derivadas:
–
y
representan funciones
–
es una constante (un número)
![\begin{tabular}{|c|} \hline
[u+v]\textsc{\char13} = u\textsc{\char13}+v\textsc{\char13} \\ \hline
[a\cdot u]\textsc{\char13} =a \cdot u\textsc{\char13} \\ \hline
[u \cdot v]\textsc{\char13} = u\textsc{\char13}\cdot v + u\cdot v\textsc{\char13} \\ \hline
\left[ \frac{u}{v} \right]\textsc{\char13} = \frac{u\textsc{\char13}\cdot v - u\cdot v\textsc{\char13}}{v^2} \\ \hline
\end{tablar}
\begin{tabular}{|c|} \hline
[u+v]\textsc{\char13} = u\textsc{\char13}+v\textsc{\char13} \\ \hline
[a\cdot u]\textsc{\char13} =a \cdot u\textsc{\char13} \\ \hline
[u \cdot v]\textsc{\char13} = u\textsc{\char13}\cdot v + u\cdot v\textsc{\char13} \\ \hline
\left[ \frac{u}{v} \right]\textsc{\char13} = \frac{u\textsc{\char13}\cdot v - u\cdot v\textsc{\char13}}{v^2} \\ \hline
\end{tablar}](local/cache-TeX/a53a0425a7009d8c02243b23da0daeb3.png)




![]()


![]()


![]()


![]()


![]()


![]()

